16〜19歳の間に受けることができたそうで、中学を卒業してたら受験資格があるそうです。
東大より入るのが難しかったとか。
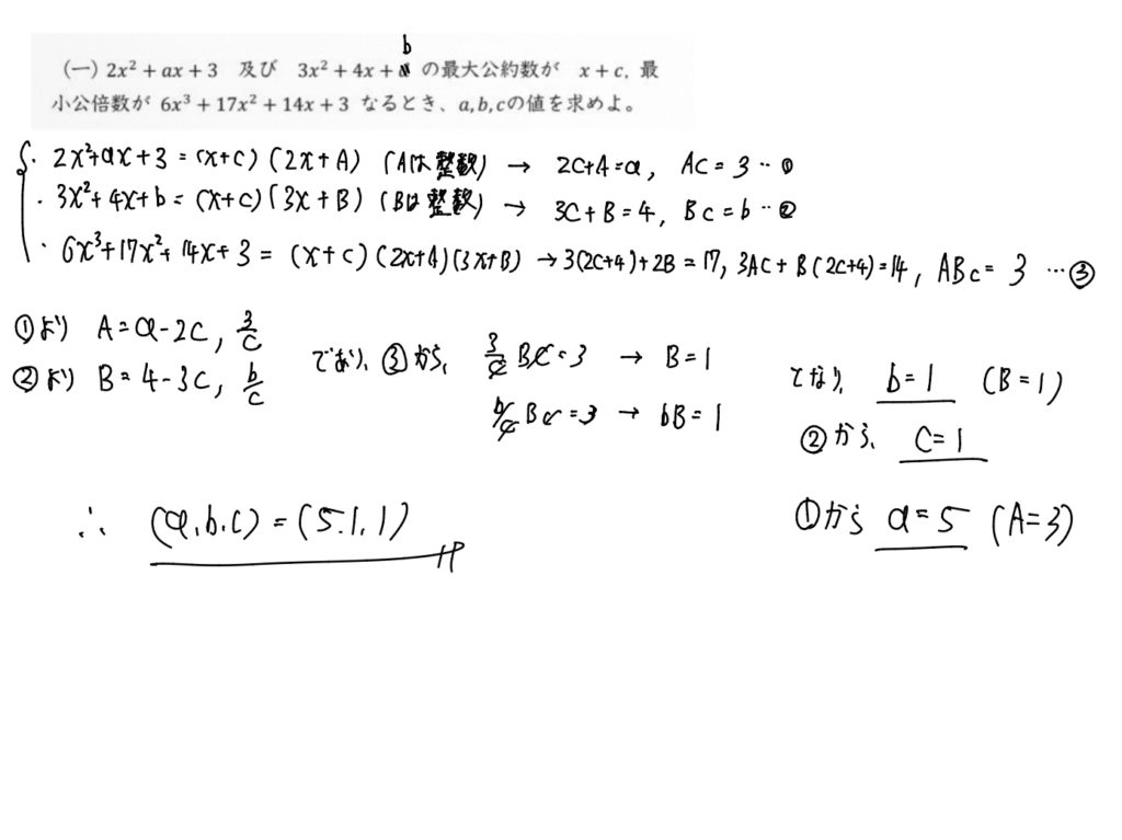
ネタづくりのために解いてみました。実際の難易度を実感するためです。
殴り書きなんで堪忍してください。iPadの手書きなんで見にくいデスヨ。
数学(幾何、代数):試験時間2時間半、
英語(英訳、英作)試験時間2時間半、
物理、
歴史(論述)、
国語(漢文含む)、
作文、、
BCCKS / ブックス - 東大入試より難しい海軍兵学校・経理学校入試問題 昭和九年度
代数の問題

代数解いてみた





幾何の問題

幾何解いてみた






英語の問題
![]()





歴史
物理


現代と変わらない難易度というか、むしろそれよりむずいね。
答えは見つからなかったんで、答え合わせはできません。
しかし中学生にここまで求めるとは、、
中学卒業で受験することを考えたら、大学入試より入るのは難しいでしょう。
90年前だからといって簡単なわけじゃないみたいです。
あとややこしい計算が多いですね。
昔の人も今でも難しいことやってたんだなって思うと親近感湧くくないですか??
こんなん解ける優秀な人が戦争を指揮してたんですからね。
この時代は軍人の方が医者よりも安定した職業だったそうです。
そして戦後日本の発展に尽くしていただいたわけですな。


コメント